Breakdown Voltage Of Argon. Plane parallel breakdown voltage was calculated based upon the published breakdown voltages for mesa terminated diodes. The law essentially states that, at higher pressures (above a few torr) the breakdown characteristics of a gap are a function (generally not
Paschen curves of the glow discharge in argon for the Ag from www.researchgate.net
As can be observed, addition of the hydrogen to the argon gas leads to an increase of the breakdown voltage. Helium, argon and nitrogen pressure was varied from 10^2 to 8.104 pa (1 to 800 mbar). We have made systematic measurements of breakdown voltages in liquid argon along insulators
V B = 2 − Pdd 2 (Ln(M/D 1Pd))2.
To represent the force affecting the electrons. High resolution modified paschen curves are obtained for argon microplasmas including a quench voltage curve representing the voltage at which the plasma turns off. 5 shows the resulting curve.
Breakdown Voltage Of A Gas Is The Required Voltage To Start A Discharge Or Electric Arc Through The Gas.
Nevertheless, fully trustworthy predictions of the breakdown properties of time projection chamber working media remain largely unavailable. The arc starting of argon arc welding adopts the arc starting method of high voltage breakdown. 28 rows breakdown voltage 30 kv/cm at 1 atm.
The Light Blue Line Represents The Ac Field, While The Dashed Light Blue Line Corresponds To The Field Dependence Inverted.
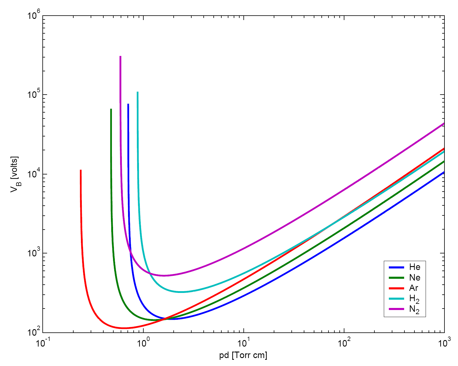
Paschen's law describes the characteristics of gas breakdown voltage between two electrodes. We have made systematic measurements of breakdown voltages in liquid argon along insulators This law states that the gas breakdown voltage(v b) depends only on the product of gas pressure (p) and gap length(d) between electrodes (v b =f(pd)).
As Can Be Observed, Addition Of The Hydrogen To The Argon Gas Leads To An Increase Of The Breakdown Voltage.
Breakdown voltage starts at 3.0kv, 2.7kv, 3.0kv and 3.8kv for benzene, chlorobenzene, toluene, xylene respectively in figure 18. Several recent experimental works have addressed the high voltage breakdown of liquid argon [14,15,16,17] and xenon for time projection chamber applications. It seems that the breakdown voltage will be proportional to p.d.
Pure Argon Gas Had The Lowest Minimum Breakdown Voltage (V B) Min Of About 309 V As Compared To Other Cases Of Different Gas Ratios.
(7) and can be expressed as ξvb = 2.5 ×1019σn tb[1 + ζ(tb)χ]pd, (9) where the electron temperature tb is obtained from eq. First, high frequency and high voltage is applied to the electrode needle (tungsten needle) and the working room to break the argon gas to make it conductive, and then supply a continuous current to ensure the stability of the arc. 0.2torr and two breakdown points:
Voltage Follower Circuit Using Op Amp . It is also commonly known as unity gain opamp amplifier or opamp buffer. These types of circuits provide better load regulation, than a simple zener diode and resistor alone. op amp Stepbystep explanation of how voltage follower from electronics.stackexchange.com A voltage follower circuit has a very high input impedance. Output voltage equivalent to the input voltage. There is no amplification of the voltage.
Voltage In Series Parallel Circuit . The relationship between these three parameters is governed by ohm's law, given as v = ir, where v is voltage, i is current, and r is resistance. 1.) the voltage across a component 2.) the current through a component 2.) the resistance of a component. Series Parallel Circuit Series Parallel Circuit Examples from electricalacademia.com Using voltage division, you get v x = v c ∗ 4 4 + 8 = v c 3. Now if there is any group of emfs that follow in series in such junctionless circuit then the total voltage or emf of the circuit will be the sum of the individual values, that. Above, we used values so that our formula for current yielded.
How To Calculate Voltage Ripple . The meter will only measure the ac component of the signal, the ripple voltage, if present. In order to suppress the output voltage ripple and noise, the most common and simple way is add the capacitor. Calculate VoUT, Icharge, And The Ripple Voltage Fo from www.chegg.com The ripple coefficient, or the ratio of the ripple voltage to the dc output voltage, is commonly used to evaluate the filtering performance of a dc power supply. C = i / 2 x f x vpp. In the above equation, i' rms is the alternating component of load current.
Comments
Post a Comment